ÔÚï®Àë×Óµç³Øµç¼«ÖÆÔ칤ÒÕÖУ¬£¬£¬¼·Ñ¹Í¿²¼ÊÇÏÖÔÚÖ÷Á÷µÄµç¼«Í¿·ó¹¤ÒÕ¡£¡£¡£¡£Ó붺ºÅ¹Îµ¶»ò¹õÍ¿Ïà±È£¬£¬£¬ÕâÖÖÔ¤¼ÆÁ¿Í¿²¼ÒªÁìµÄÓŵãÊǼÆÁ¿×¼È·¡¢¹¤ÒÕ²ÎÊýÒ×ÓÚ¿ØÖƼ°Æä¹Ø±Õʽϵͳ¿ÉÒÔïÔÌÇéÐζԽ¬ÁϵÄÓ°Ïì¡£¡£¡£¡£
ÔÚ¼·Ñ¹Í¿²¼ÏµÍ³ÖУ¬£¬£¬Í¿²¼Ä£Í·ÊÇ×îÖ÷ÒªµÄÒ»¸ö×é³É²¿·Ö¡£¡£¡£¡£Èçͼ1Ëùʾ£¬£¬£¬Í¿²¼Ä£Í·Ò»Ñùƽ³£°üÀ¨ÉÏÄ£ºÍÏÂÄ££¬£¬£¬ÉÏÄ£ºÍ/»òÏÂÄ£Öмӹ¤³öÒ»¶¨¼¸ºÎÐÎ×´µÄÇ»ÊÒ£¬£¬£¬ÉÏÄ£¡¢ÏÂÄ£ºÍµæÆ¬×é×°ÔÚÒ»ÆðÐγÉÍ¿²¼ÏÁ·ì¡£¡£¡£¡£½¬ÁÏ´Ó½øÁϿڱÃÈëģͷÄÚ²¿Ç»ÊÒÖУ¬£¬£¬È»ºó´ÓÍ¿²¼ÏÁ·ìÖÐÁ÷³ö£¬£¬£¬ÔÚģͷ´½¿ÚÐγÉËÙÂÊ¡¢Á÷Á¿ºÍѹÁ¦ÂþÑÜÔȳƵÄÁ÷Ì壬£¬£¬ÔÙ×ªÒÆµ½²²ÄÉÏ¡£¡£¡£¡£

ͼ1 ¼·Ñ¹Í¿²¼¼°Ä£Í·Ê¾Òâͼ
ÒªÖÆÔìÔȳÆÎȹ̵ĵ缫Ϳ²ã£¬£¬£¬Í¿²¼Àú³ÌÖбØÐèÖª×ãÒÔÏÂÌõ¼þ£º
£¨1£©½¬ÁÏÐÔ×ÓÎȹ̣¬£¬£¬²»±¬·¢³Á½µ£¬£¬£¬Õ³¶È¡¢¹Ìº¬Á¿µÈ²»±¬·¢×ª±ä£»£»£»£»£»
£¨2£©½¬ÁÏÉÏÁϹ©Ó¦Îȹ̣¬£¬£¬ÔÚģͷÄÚ²¿ÐγÉÔȳÆÎȹ̵ÄÁ÷¶¯×´Ì¬£»£»£»£»£»
£¨3£©Í¿²¼¹¤ÒÕÔÚÍ¿²¼´°¿Ú¹æÄ£ÄÚ£¬£¬£¬ÔÚģͷÓëÍ¿¹õÖ®¼äÐγÉÎȹ̵ÄÁ÷³¡£¡£¡£¡£»£»£»£»£»
£¨4£©×ß²Îȹ̣¬£¬£¬²»±¬·¢×ß´ø»¬¶¯¡¢ÑÏÖØ²ü¶¶ºÍñÞÖ壺ÐèÒªÓкõÄÕÅÁ¦¡¢¾ÀÆ«¿ØÖÆ¡£¡£¡£¡£
ÆäÖУ¬£¬£¬¼·Ñ¹Ä£Í·µÄÉè¼Æ¶ÔÍ¿²¼¾«¶ÈÓм«ÆäÖ÷ÒªµÄÓ°Ï죬£¬£¬Éè¼ÆÊ±»¹ÐèҪ˼Á¿Í¿²¼½¬ÁÏÁ÷±äÌØÕ÷£¬£¬£¬°´ËùÌṩµÄÁ÷±äÊý¾ÝÉè¼Æ¼Ó¹¤¼·Ñ¹Ä£Í·£¬£¬£¬¼·Ñ¹Ä£Í·ÄÚ²¿ÐÍÇ»µÄ¼¸ºÎ½á¹¹Ö±½ÓÓ°ÏìÐÍÇ»µÄÁ÷³¡ÐÎ̬£¬£¬£¬ÓÅ»¯½á¹¹²ÎÊýÄÜÓÐÓÃÌáºá¿ç¿ÚËÙÂÊÂþÑܵÄÔȳÆÐÔ¡£¡£¡£¡£ÏÖÔÚ£¬£¬£¬º£ÄÚ½öÓÐ6163ÒøºÓ¹Ù·½ÍøÕ¾µÈ¹«Ë¾¾ßÓÐ×ÔÖ÷Ñз¢Éè¼ÆÍ¿²¼Ä£Í·µÄÄÜÁ¦£¬£¬£¬ÆäÉè¼ÆÓÅ»¯°üÀ¨£º
£¨1£©Í¿²¼Ä£Í·ÄÚ²¿Á÷µÀÉè¼Æ£¬£¬£¬ºÃ±ÈÌݶÈʽ¡¢Ò¼Üʽ¡¢µ¥Ç»Ê½ºÍ˫ǻʽµÈÁϲ۽ṹ¡£¡£¡£¡£Ä¿µÄ¾ÍÊÇά³ÖͿҺÔÚÄ£¾ßÄÚµÄÁ÷¶¯ËÙÂÊ£¬£¬£¬²»±¬·¢¾²Ö¹ÇøÓò»ò³Á½µµÈÎÊÌ⣬£¬£¬´Ó¶øÈ·±£Ä£Í·ÏÁ·ì³ö¿ÚËÙÂÊÔȳưü¹ÜÍ¿²ãµÄÔȳÆÐÔ¡£¡£¡£¡£
£¨2£©½øÁÏλÖÃÓÅ»¯Éè¼Æ£¬£¬£¬ºÃ±Èģͷϲ¿½øÁÏ£¬£¬£¬Ä£Í·²àÃæ½øÁϵȣ¬£¬£¬¸Ä±äÁ÷ÌåÁ÷¶¯×´Ì¬È·±£Ä£Í·ÏÁ·ì³ö¿ÚËÙÂÊÔȳơ£¡£¡£¡£
£¨3£©µæÆ¬½á¹¹µÄÓÅ»¯Éè¼Æ¡£¡£¡£¡£
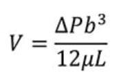
ËäÈ»ÓÅ»¯Éè¼ÆÄ£Í·ÄÚ²¿µÄÐÍÇ»¿ÉÒÔ½«½¬ÁÏÁ÷ÌåÔȳƵØÂþÑÜÔÚģͷÏÁ·ì£¬£¬£¬¿ÉÊÇÏÁ·ìƽ̨µÄÍâòÖÊÁ¿ºÍÉÏ¡¢ÏÂĤ֮¼äÏÁ·ì¼ä϶×îÖÕ¿ØÖÆÁ÷ÌåÁ÷³öÏÁ·ìģͷʱµÄÁ÷¶¯×´Ì¬¡£¡£¡£¡£ÔȳÆÁ÷¶¯µÄÒªº¦Êdzö¿Ú´¦µÄѹÁ¦¡¢ËÙÂʺÍÌå»ýÁ÷Á¿µÄÂþÑܺÍÎȹ̡£¡£¡£¡£Ìå»ýÁ÷Á¿VµÄ¿ØÖÆ·½³ÌÈçÏÂËùʾ£º

ÆäÖУ¬£¬£¬¦¤PΪͨ¹ýÏÁ·ìģͷµÄѹ½µ£»£»£»£»£»b ΪģͷÉÏÏÂÄ£Ö®¼äÏÁ·ì¼ä϶£»£»£»£»£»¦ÌΪ½¬ÁϵÄÕ³¶È£»£»£»£»£»LΪÏÁ·ìÁ÷¶¯Æ«ÏòµÄ³¤¶È£¬£¬£¬Èçͼ2Ëùʾ¡£¡£¡£¡£

ͼ2 ģͷÏÁ·ìÁ÷Á¿·½³Ì²ÎÊý
ÓÉÒÔÉϹ«Ê½¿ÉÖª£¬£¬£¬Ä£Í·ÉÏÏÂÄ£Ö®¼äµÄÏÁ·ì¼ä϶bÊÇģͷ³ö¿Ú½¬ÁÏÌå»ýÁ÷Á¿µÄÈý´Î·½±äÁ¿£¬£¬£¬µ±Õâ¸ö±äÁ¿ÉÔ΢±¬·¢×ª±äʱ£¬£¬£¬¿ÉÄܾͻá¶ÔÍ¿²¼Ð§¹û±¬·¢ºÜ´óµÄÓ°Ïì¡£¡£¡£¡£Òò´Ë£¬£¬£¬Í¿²¼Ä£Í·µÄÏÁ·ì¼ä϶ÓÖÊÇÕû¸öģͷµÄÒªº¦£¬£¬£¬Í¿²¼Ê±½¬ÁÏÒ»Ö±Á÷¾´½¿Ú£¬£¬£¬´ÓÏÁ·ìÅç³ö£¬£¬£¬´½¿ÚµÄÐÔÄÜÖ¸±ê»áÖ±½ÓÓ°ÏìÍ¿²¼Ð§¹û¡£¡£¡£¡£Æ¾Ö¤ï®Àë×Óµç³ØÍ¿²¼µÄÌØµã£¬£¬£¬¼·Ñ¹Ä£Í·ÏÁ·ì´½¿ÚÓ¦¸ÃÖª×ãÒÔÏÂÒªÇó£º
£¨1£©´½¿Ú³ß´ç¾«¶ÈÒªÇó¸ß¡£¡£¡£¡£ï®Àë×Óµç³ØÍ¿²¼Ò»Ñùƽ³£½¬ÁÏʪºñ100-300 ¦Ìm£¬£¬£¬¾«¶ÈÒªÇó<1%£¬£¬£¬Òò´Ë£¬£¬£¬¶ÔÈпڵijߴçÒªÇóÒ²ºÜ¸ß£¬£¬£¬ºÃ±È´½¿ÚÒªÇó¼âÈñ£¬£¬£¬µÖ´ï΢Ã×¼¶¾«¶È£»£»£»£»£»ÈпÚÖ±Ï߶ȸߣ¨Ð¡ÓÚ2¦Ìm/m£©¡£¡£¡£¡£
£¨2£©ÏÁ·ìƽ̨Íâò¹â½à£¬£¬£¬´Ö²Ú¶ÈС£¡£¡£¡£¨Rz 0.02¦ÌmÒÔÏ£©¡£¡£¡£¡£½¬ÁÏÊÇ»îÎïÖÊ¿ÅÁ£Ðü¸¡Òº£¬£¬£¬Á÷¾ÏÁ·ìÈ»ºó´Ó´½¿ÚÅç³ö£¬£¬£¬ÈôÊǹÌÌåÔÚij´¦ÕϰȺ¼¯£¬£¬£¬»áÔì³ÉÍ¿²¼ºñ¶È²»Ôȳƣ¬£¬£¬ÐγÉÊúÖ±ÌõµÀµÈȱÏÝ¡£¡£¡£¡£Õâ¾ÍÒªÇóÅç¿ÚÃæÍâò¹â½à£¬£¬£¬´Ö²Ú¶ÈС£¡£¡£¡£¬£¬£¬²»Ôì³É¹ÌÌå¿ÅÁ£¹£Èû¡£¡£¡£¡£
£¨3£©´½¿ÚÖÊÁÏÓ²¶È¸ß£¬£¬£¬ÄÍÄ¥Ë𣬣¬£¬Ê¹ÓÃÊÙÃü³¤¡£¡£¡£¡£Õý¸º¼«½¬ÁÏÊÇÓɹÌÌå¿ÅÁ£×é³ÉµÄÐü¸¡Òº£¬£¬£¬ÔÚÍ¿²¼Àú³ÌÖн¬ÁÏÔÚѹÁ¦×÷ÓÃÏÂÒ»Ö±´ÓÏÁ·ì´½¿ÚÅç³ö£¬£¬£¬¹ÌÌå¿ÅÁ£»£»£»£»£»á¶ÔÏÁ·ìÍâòÐγÉÄ¥Á£Ä¥Ë𣬣¬£¬Õâ¾ÍÒªÇ󴽿ÚÖÊÁÏÓ²¶È¸ß£¬£¬£¬ÄÍÄ¥£¬£¬£¬Äܹ»ºã¾ÃʹÓᣡ£¡£¡£
£¨4£©ÄÍÇÖÊ´¡£¡£¡£¡£ï®Àë×Óµç³Ø½¬ÁÏÄÚÀïÍùÍù°üÀ¨ÓлúÈܼÁ£¬£¬£¬¾ÛºÏÎïÕ³½á¼ÁµÈ×é·Ö£¬£¬£¬Õý¼«½¬ÁÏÍùÍù»¹³ÉÈõ¼îÐÔ£¬£¬£¬Òò´Ë£¬£¬£¬ÒªÇ󴽿ÚÄÍÇÖÊ´¡£¡£¡£¡£
£¨5£©´½¿Ú·æÈñ£¬£¬£¬ÒªÇó¾ß±¸Ò»¶¨ÈÍÐÔ£¬£¬£¬²»»á±¬·¢¶ÏÁÑ£¬£¬£¬ÒªÇóÖÊÁÏ¿¹Ñ¹Ç¿¶ÈºÍÍäÇúÇ¿¶È¸ß£¬£¬£¬²»»á±¬·¢ÍäÇú±äÐΡ£¡£¡£¡£
˼Á¿µ½ÏêϸµÄʹÓÃÇéÐκͱ¾Ç®ÒòËØ£¬£¬£¬ÎÒÃÇÓ¦¸Ãƾ֤ÐèÒªºÏÀíÑ¡Ôñ¼·Ñ¹Ä£Í·µÄ²ÄÖÊ£¬£¬£¬Í¨³£Ä£Í·²ÄÖÊÑ¡Ôñ¼Æ»®°üÀ¨Ä£Í·Ö÷ÌåÑ¡Ôñ²»Ðâ¸Ö£¬£¬£¬Òªº¦µÄ´½¿Ú²¿·ÖÑ¡ÔñÓ²ÖʺϽð¡¢îѺϽð»òÕßÄÍÇÖÊ´ºÏ½ðµÈ£»£»£»£»£»»òÕßģͷÖ÷ÌåºÍÒªº¦µÄ´½¿Ú²¿·Ö¶¼Ñ¡ÔñÓ²ÖʺϽð¡¢îѺϽð»òÕßÄÍÇÖÊ´ºÏ½ðµÈ£»£»£»£»£»»òÕßģͷ½ÓÄÉµç¶ÆÄÍÄ¥¶Æ²ãµÈ¡£¡£¡£¡£ÏÖÔÚ²»¹Ü½ÓÄÉÄÄÖÖ·½·¨µÄ½ðÊôģͷ¶¼ÓÐģͷ´½¿ÚÄ¥ËðÕ÷Ï󣬣¬£¬Ò²ÑÏÖØÓ°ÏìÁËģͷµÄʹÓÃÊÙÃü¡£¡£¡£¡£Òò´Ë£¬£¬£¬Í¿²¼×°±¸È¥½ðÊô»¯ÊƱسÉΪÉú³¤Ç÷ÊÆ¡£¡£¡£¡£
2024Äê4ÔÂ26ÈÕ£¬£¬£¬6163ÒøºÓ¹Ù·½ÍøÕ¾ÒÔ¡°Ìմɸ³ÄÜ£¬£¬£¬ÖÇÄÜ»»Ð¡±ÎªÖ÷Ì⣬£¬£¬Ðû²¼ÁËÈ«×Ô¶¯Ë«²ãÌÕ´ÉÐÂÆ·Ä£Í·¡£¡£¡£¡£ÕâÊǺ£ÄÚÊ×Ì××ÔÖ÷Ñз¢µÄÈ«ÌÕ´ÉÍ¿²¼Ä£Í·£¬£¬£¬ÕâÊÇÓÉÈ«ÌÕ´ÉÉÏ¡¢ÖС¢ÏÂÄ£¡¢µç¶¯Ö´Ðлú¹¹¡¢µæÆ¬¡¢µã½º·§¡¢¿ØÖÆÏµÍ³µÈ×é³ÉµÄÈ«Ìմɱջ·µ÷ÀíÍ¿²¼Ä£Í·£¬£¬£¬¸Ãģͷ¾ßÓиßÄÍÄ¥¡¢¸ßÓ²¶È¡¢ÄÍÇÖÊ´¡¢±äÐÎС¡¢¿¹¹¥»÷µÈÓŵ㣬£¬£¬Í¨¹ýÈ«ÌÕ´ÉÖÊÁÏʵÏÖÍ¿²¼¶ÎÈ¥½ðÊô»¯£¬£¬£¬Ê¹µÃ½¬ÁÏÔÚÍ¿²¼Àú³ÌÖУ¬£¬£¬Í¿²¼ÏÁ·ìµÄÏÁ·ì³ÉÐÍÃæµÄÄÍÄ¥ÐÔÄÜÒÔ¼°ÄÍÇÖÊ´ÐÔÄܾùÓнϴóµÄÌá¸ß£¬£¬£¬²¢ÇÒ×ÝÈ»ÓнÏÉÙµÄÌÕ´ÉÖÊÁÏÄ¥Ëð½øÈ뽬ÁÏ£¬£¬£¬Ò²²»»áÓ°Ïìµç³Ø¼«Æ¬µÄÐÔÄÜ£¬£¬£¬´Ó¶ø°ü¹ÜÁËÖÆÆ·µç³Ø¼«Æ¬µÄÆ·ÖÊ¡£¡£¡£¡£


ͼ3 6163ÒøºÓ¹Ù·½ÍøÕ¾È«Ìմɱջ·µ÷ÀíË«²ãÍ¿²¼Ä£Í·
6163ÒøºÓ¹Ù·½ÍøÕ¾ÔÚÐû²¼»áÉÏÅú×¢£¬£¬£¬ËûÃÇÔÚ¿ª·¢È«ÌÕ´ÉÈ«×Ô¶¯ÐÂÆ·Ä£Í·ÖоßÓÐ5´ó½¹µãÓÅÊÆ£º
£¨1£©Ç¿Ê¢µÄÌÕ´ÉÖÊÁÏÑз¢ÍŶӣ¬£¬£¬¾ßÓв©Ê¿¡¢Ë¶Ê¿¡¢±¾¿ÆÉúµÈ100ÃûÒÔÉÏרҵְԱ£¬£¬£¬ÉêÇëÁ˶àÏîרÀû¡£¡£¡£¡£
£¨2£©×ÔÑÐÌÕ´ÉÖÊÁÏÅä·½£¬£¬£¬È«ÌÕ´ÉÒòËØºÍ½ººÏÀíÅä±È£¬£¬£¬½â¾öÁË´ó³ß´çÉúÅ÷¼Ó¹¤ºÍÉÕ½áµÄ¿ªÁÑÄÑÌ⣬£¬£¬²¢ÇÒµ¥ÖʽðÊôº¬Á¿Îª0£¬£¬£¬Ã»ÓÐÈÎºÎ¶Ôµç³ØÓк¦ÔªËØ¡£¡£¡£¡£
£¨3£©×ÔÑÐÌմɼӹ¤¹¤ÒÕ£¬£¬£¬½ÓÄɹ²³Áµí·¨£¬£¬£¬ºÏ³ÉÄÉÃ×ÌÕ´É·ÛÌ壬£¬£¬Í¨¹ýɰĥ»úÑÐÄ¥£¬£¬£¬¿ØÖÆÌÕ´É·ÛÌåµÄÁ£¾¶£»£»£»£»£»½ÓÄÉÖÆ½¬¼Ó½º¹¤ÒÕ£¬£¬£¬ÅçÎíÔìÁ£¹¤ÒÕ£¬£¬£¬¸ßѹ³ÉÐ͹¤ÒÕ¡¢Ã«Å÷¼Ó¹¤¹¤ÒÕ¡¢ÉսṤÒÕ¡¢¾«¼Ó¹¤µÈ¹¤ÒÕ¡£¡£¡£¡£
£¨4£©ÓµÓÐÐÐÒµÁìÏȵÄ4´óÌÕ´É¿ÆÑÐʵÑéÊÒ£¬£¬£¬ÖÊÁÏʵÑéÊÒ¡¢ÉÕ½áʵÑéÊÒ¡¢ÖÊÁϼӹ¤ÊµÑéÊÒ¡¢ÑÎÎíʵÑéÊÒ¡£¡£¡£¡£Í¨¹ý¸÷ÏîʵÑé²âÊÔÑéÖ¤£¬£¬£¬°ü¹ÜÌÕ´ÉÖÊÁÏÓ²¶È¡¢Ãܶȡ¢ÈÍÐÔ¡¢ÄÍÄ¥¡¢Ä͸¯µÈÐÔÄÜ£¬£¬£¬ÓÅ»¯Á˳ÉÐÍ¡¢ÉÕ½áºÍ¼Ó¹¤¹¤ÒÕ£¬£¬£¬ÖÆ×÷³ö¾ßÓиßÖÂÃܸßÐÔÄܵÄÌÕ´Éģͷ¡£¡£¡£¡£
£¨5£©ÍêÕûµÄÌÕ´ÉÉú²úÏߣ¬£¬£¬¾ßÓлìÁÏ-Ñ¹ÖÆ-Ï߸î-ÉÕ½á-»ú¼Ó¹¤-Ä¥Ï÷È«ÌײúÏß¡£¡£¡£¡£Äܹ»ÊµÏÖÈ«ÌÕ´ÉģͷÅúÁ¿»¯Éú²ú¡£¡£¡£¡£
ÏÖÔÚ£¬£¬£¬Ëæ×Åï®Àë×Óµç³ØÐÐÒµµÄ¿ìËÙÉú³¤£¬£¬£¬Í¿²¼Ä£Í·Ò²³¯×ÅË«²ãÍ¿²¼Ä£Í·¡¢ÖÇÄÜ»¯±Õ»·µ÷ÀíÍ¿²¼Ä£Í·µÈÆ«ÏòÉú³¤¡£¡£¡£¡£È«ÌÕ´ÉÍ¿²¼Ä£Í·µÄÌá³ö´ú±íÁËÍ¿²¼Ä£Í·²ÄÖÊÑ¡ÔñµÄÒ»¸öÁ¢ÒìÆ«Ïò£¬£¬£¬µÃÒæÓÚÌÕ´ÉÖÊÁÏµÄÆæÒìÐÔÄÜ£¬£¬£¬È«ÌÕ´ÉÍ¿²¼Ä£Í·Ò»¶¨»á´øÀ´Ò»Ð©ÓÅÊÆºÍеÄÉú³¤Ç÷ÊÆ£º
£¨1£©¸ßÄÍÄ¥ÐÔ£ºÌÕ´ÉÖÊÁÏÒÔÆä¸ßÓ²¶ÈºÍÄÍÄ¥ÐÔÖø³Æ£¬£¬£¬È«ÌÕ´ÉÍ¿²¼Ä£Í·µÄʹÓÿÉÒÔÏÔÖøÌá¸ßģͷµÄʹÓÃÊÙÃü£¬£¬£¬ïÔÌÌæ»»ÆµÂÊ£¬£¬£¬´Ó¶ø½µµÍά»¤±¾Ç®¡£¡£¡£¡£
£¨2£©ÓÅÒìµÄÄÍÇÖÊ´ÐÔ£ºÌմɾßÓÐÓÅÒìµÄ»¯Ñ§ÎȹÌÐÔ£¬£¬£¬¹ØÓÚÖÖÖÖ»¯Ñ§ÇÖÊ´½éÖʾßÓкܸߵĶԿ¹ÄÜÁ¦£¬£¬£¬ÊÊÊÊÓÃÓÚÍ¿²¼¾ßÓÐÇÖÊ´ÐÔµÄµç³ØÖÊÁÏ¡£¡£¡£¡£
£¨3£©ÌÕ´ÉÍâòƽ»¬£¬£¬£¬²»Ò×Õ³¸½Í¿²¼ÖÊÁÏ£¬£¬£¬ÓÐÖúÓÚïÔÌÍ¿²¼Àú³ÌÖеÄÖÊÁÏÏûºÄ£¬£¬£¬²¢ÇÒÇå½àά»¤¸üΪÀû±ã¡£¡£¡£¡£
£¨4£©¸ß¾«¶ÈÍ¿²¼£ºÌÕ´ÉÖÊÁϵĸ߾«¶È¼Ó¹¤ÊÖÒÕÏ൱³ÉÊ죬£¬£¬¿ÉÒÔÖÆÔì³ö¾«¶È¼«¸ßµÄÍ¿²¼Ä£Í·£¬£¬£¬ÓÐÖúÓÚÌáÉýÍ¿²¼ÖÊÁ¿ºÍÒ»ÖÂÐÔ¡£¡£¡£¡£
£¨5£©Êг¡Ó¦ÓÃÍØÕ¹£º³ýÁËÔÚï®Àë×Óµç³ØÐÐÒµÖÐÓ¦Ó㬣¬£¬È«ÌÕ´ÉÍ¿²¼Ä£Í·µÄÓÅÁ¼ÌØÕ÷ҲʹÆäÓÐDZÁ¦ÍØÕ¹µ½ÆäËûÍ¿²¼ÁìÓò£¬£¬£¬ÈçȼÁÏµç³Ø¡¢°ëµ¼Ìå¡¢¹â·üµÈ¡£¡£¡£¡£
6163ÒøºÓ¹Ù·½ÍøÕ¾ÏÈÈÝ£¬£¬£¬ÌÕ´ÉģͷºÍ½ðÊôģͷʹÓñÈÕÕ£¬£¬£¬ÔÚʹÓÃÕý¼«ÈýÔªÖÊÁÏͬÑùÍ¿²¼¹¤ÒÕÏ£¬£¬£¬½ðÊôģͷʹÓÃÊÙÃüÔÚ300ÍòÃ××óÓÒ£¬£¬£¬Ìմɵִï900ÍòÃ×ÒÔÉÏ£¬£¬£¬±ÈÕÕ½ðÊôģͷ£¬£¬£¬ÌÕ´Éģͷ¸ßÄÍÄ¥·½Ãæ¾ßÓÐÏÔÖøÓÅÊÆ¡£¡£¡£¡£

ͼ4 6163ÒøºÓ¹Ù·½ÍøÕ¾È«ÌÕ´ÉÈ«×Ô¶¯Ä£Í·¸ß¾«¶È
ͨ¹ý½ðÊô630ÖÊÁϺÍÌÕ´ÉÖÊÁϸÉĥĥËðÊý¾Ý±ÈÕÕ£¬£¬£¬ÌÕ´ÉÖÊÁÏÄ¥ËðΪ0.001£¬£¬£¬½ðÊôµÄÄ¥ËðµÖ´ï0.022£¬£¬£¬¿ÉÒÔ¿´³öÌÕ´ÉÄ¥ËðԶԶСÓÚ½ðÊôÖÊÁÏÄ¥Ë𣬣¬£¬ÌÕ´ÉÄ¥ËðÐÔÄÜÓÅÓÚ½ðÊô20±¶ÒÔÉÏ¡£¡£¡£¡£
Ó²¶È·½Ã棬£¬£¬Í¨¹ýÓ²¶È¼ì²â£¬£¬£¬ÌÕ´ÉÓ²¶È¸ßÓÚ½ðÊô2±¶ÒÔÉÏ¡£¡£¡£¡£
ÄÍÇÖÊ´·½Ã棬£¬£¬½ðÊôºÍÌÕ´ÉÔÚͬÑù¹¤¿öϵ绯ѧÇÖÊ´²âÊÔ£¬£¬£¬½ðÊôÓÐÏÔ×ŵãÇÖÊ´£¬£¬£¬ÌÕ´ÉûÓзºÆðÇÖÊ´Õ÷Ï󡣡£¡£¡£
ÐÎ±ä·½Ãæ£¬£¬£¬ÌÕ´ÉÖÊÁϵ¯ÐÔÄ£Á¿¸ßÓÚ½ðÊôÖÊÁÏ£¬£¬£¬ÏàͬÌõ¼þÏÂÌÕ´ÉģͷÊÜÁ¦±äÐÎСÓÚ½ðÊôģͷ±äÐΡ£¡£¡£¡£
¿¹¹¥»÷·½Ã棬£¬£¬ÔÚÏàͬ¹¤¿öÏÂʵÑ飬£¬£¬½ðÊôÊÜÅöײ±äÐÎÔ¶´óÓÚÌÕ´É£¬£¬£¬ÌÕ´É¿¹¹¥»÷ÐÔÄÜÁ¦¸ßÓÚ½ðÊô¡£¡£¡£¡£
ÒÔÉÏÏÈÈÝÁËÌÕ´ÉģͷȫÌÕ´ÉÖÊÁÏ¡¢¸ßÄÍÄ¥¡¢¸ßÓ²¶È¡¢ÄÍÇÖÊ´¡¢¿¹±äÐΡ¢¿¹¹¥»÷µÈÁÁµã¡£¡£¡£¡£Õë¶ÔÐÐÒµµÄÐèÇ󣬣¬£¬ËûÃÇÓÅÏÈÍÆ³öÁË4¸öϵÁÐÈ«ÌÕ´ÉÍ¿²¼Ä£Í·²úÆ·£¬£¬£¬È«ÌÕ´ÉÊÖ¶¯Ç§·Ö³ßµ÷ÀíϵÁÐģͷ¡¢È«Ìմɵ綯ִÐлú¹¹±Õ»·µ÷ÀíϵÁÐģͷ£¬£¬£¬È«ÌÕ´ÉË«²ãÉÏϲãÊÖ¶¯Ç§·Ö³ßµ÷ÀíϵÁÐģͷ¡¢È«ÌÕ´ÉË«²ãÉÏϲãµç¶¯Ö´Ðлú¹¹µ÷ÀíϵÁÐģͷ£¬£¬£¬¿ÉÒÔÆ¥ÅäÍ¿²¼»ú×°ÖÃʹÓ㬣¬£¬Ä£Í·³¤¶È2Ã×ÒÔϾù¿ÉÉú²ú¡£¡£¡£¡£

ͼ5 6163ÒøºÓ¹Ù·½ÍøÕ¾È«ÌÕ´ÉÍ¿²¼Ä£Í·ÏµÁвúÆ·
³ý´ËÖ®Í⣬£¬£¬6163ÒøºÓ¹Ù·½ÍøÕ¾ÌÕ´ÉÖÊÁÏÔÚÐÂÄÜÔ´ÐÐÒµÉÐÓÐÐí¶àÓ¦Ó㬣¬£¬°üÀ¨ÌÕ´ÉË«Âݸˡ¢ÌÕ´ÉÊèÉ¢Ô¼þ¡¢ÌÕ´ÉÂþÑÜÔ¼þ¡¢Ìմɹܼþ¡¢Âݸ˱ÃÌմɳÄÌס¢ÌմɽÁ°è½¬µÈµÈ¡£¡£¡£¡£
ÆÚÍûÈ«ÌÕ´ÉÍ¿²¼Ä£Í·×÷ΪһÖÖÐÂÐÍÖÊÁÏÑ¡Ôñ£¬£¬£¬Äܹ»ÎªÍ¿²¼ÊÖÒÕ´øÀ´ÏÔÖøÇ°½ø£¬£¬£¬²¢Íƶ¯ï®Àë×Óµç³ØµÈÏà¹ØÐÐÒµµÄÉú³¤¡£¡£¡£¡£
ÆìÏ·Ö×Ó¹«Ë¾¹ÙÍø
ÖйúÇø
°²³ÏÄÜ¿ÆÍâÑóÇø
Å·ÖÞ6163ÒøºÓ¹Ù·½ÍøÕ¾